mathsworld-trigo
Saturday, 2 November 2013
Thursday, 10 October 2013
Sunday, 29 September 2013
Saturday, 28 September 2013
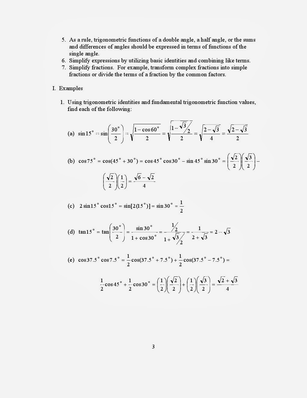
Wednesday, 25 September 2013
Sunday, 15 September 2013
Trig Table of Common Angles
|
Trig
Table of Common Angles
|
|||||||||||||||||
|
Angle
(degrees)
|
0
|
30
|
45
|
60
|
90
|
120
|
135
|
150
|
180
|
210
|
225
|
240
|
270
|
300
|
315
|
330
|
360
= 0
|
|
Angle
(radians)
|
0
|
PI/6
|
PI/4
|
PI/3
|
PI/2
|
2/3PI
|
3/4PI
|
5/6PI
|
PI
|
7/6PI
|
5/4PI
|
4/3PI
|
3/2PI
|
5/3PI
|
7/4PI
|
11/6PI
|
2PI
= 0
Square root of all given below terms
|
|
Sin(a)
|
(0/4)
|
(1/4)
|
(2/4)
|
(3/4)
|
(4/4)
|
(3/4)
|
(2/4)
|
(1/4)
|
(0/4)
|
-(1/4)
|
-(2/4)
|
-(3/4)
|
-(4/4)
|
-(3/4)
|
-(2/4)
|
-(1/4)
|
(0/4)
|
|
Cos(a)
|
(4/4)
|
(3/4)
|
(2/4)
|
(1/4)
|
(0/4)
|
-(1/4)
|
-(2/4)
|
-(3/4)
|
-(4/4)
|
-(3/4)
|
-(2/4)
|
-(1/4)
|
(0/4)
|
(1/4)
|
(2/4)
|
(3/4)
|
(4/4)
|
|
Tan(a)
|
(0/4)
|
(1/3)
|
(2/2)
|
(3/1)
|
(4/0)
|
-(3/1)
|
-(2/2)
|
-(1/3)
|
-(0/4)
|
(1/3)
|
(2/2)
|
(3/1)
|
(4/0)
|
-(3/1)
|
-(2/2)
|
-(1/3)
|
(0/4)
|
Those with a zero in the denominator are undefined (Not Defined) . They are included solely to
demonstrate the pattern.
Saturday, 14 September 2013
Basic Trigonometric Identities
Pythagorean
Identities (and their variations)
From the unit circle, using
the Pythagorean Theorem, we see that
x2
+ y2 = 1
Since x = cos θ & y = sin θ, we get:
(sin θ)2 + (cos θ)2 = 1 or
sin2
θ + cos2 θ = 1
|
1. sin2 θ + cos2 θ
= 1
(sin2 θ = 1 - cos2 θ)
(cos2 θ = 1 - sin2 θ)
|
2. tan2 θ + 1 = sec2 θ
(tan2 θ - sec2 θ = 1)
(tan2
θ = sec2 θ – 1)
|
3.
1 + cot2 θ = csc2 θ
(cot2
θ = csc2 θ – 1)
(1
= csc2 θ - cot2
θ)
|
Opposite Angle Identities (aka Even/Odd
Identities)
1. sin (-A) = - sin (A) 2. cos (-A) = cos (A)
Sum and Difference
Identities
1.
sin(A
+ B) = sin(A)cos(B) + sin(B)cos(A)
2. sin(A - B) = sin(A)cos(B) - sin(B)cos(A)
3. cos(A + B) = cos(A)cos(B) – sin(A)sin(B)
4. cos(A – B) = cos(A)cos(B) + sin(A)sin(B)
Cofunction Identities:
|
1. sin θ = cos (90° – θ)
|
4. cos θ = sin (90° – θ)
|
|
2. tan θ = cot (90° – θ)
|
5.
cot θ = tan (90° – θ)
|
|
3.
sec θ = csc (90° – θ)
|
6.
csc θ = sec (90° – θ)
|
Subscribe to:
Comments (Atom)
































